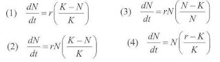
Home2025 NEET Biology Practice Test NEET Biology Practice Test || Exam Questions 81-90 (NEET Biology Practice Test -Set 9) (NEET Biology Practice Test|| Exam Questions 81-90) 81. Which of the following statements about RuBisCO is true? (1) It is active only in the dark. (2) It has higher affinity for oxygen than carbon dioxide. (3) It is an enzyme involved in the photolysis of water. (4) It catalyzes the carboxylation of RuBP. 82. Which of the following enzyme(s) are NOT essential for gene cloning?A. Restriction enzymesB. DNA ligaseC. DNA mutaseD. DNA recombinaseE. DNA polymeraseChoose the correct answer from the options given below: (1) C and D only (2) A and B only (3) D and E only (4) B and C only 83. Read the following statements on plant growth and development.A. Parthenocarpy can be induced by auxins.B. Plant growth regulators can be involved in promotion as well as inhibition of growth.C. Dedifferentiation is a pre-requisite for redifferentiation.D. Abscisic acid is a plant growth promoter.E. Apical dominance promotes the growth of lateral buds.Choose the option with all correct statements. (1) A, B, C only (2) A, C, E only (3) A, D, E only (4) B, D, E only 84. Which factor is important for termination of transcription? (1) α (alpha) (2) σ (sigma) (3) ρ (rho) (4) γ (gamma) 85. Frogs respire in water by skin and buccal cavity and on land by skin, buccal cavity and lungs.Choose the correct answer from the following: (1) The statement is true for water but false for land (2) The statement is true for both the environment (3) The statement is false for water but true for land (4) The statement is false for both the environment 86. Twins are born to a family that lives next door to you. The twins are a boy and a girl. Which of the following must be true? (1) They are monozygotic twins. (2) They are fraternal twins. (3) They were conceived through in vitro fertilization. (4) They have 75% identical genetic content. 87. Which of the following microbes is NOT involved in the preparation of household products?A. Aspergillus nigerB. LactobacillusC. Trichoderma polysporumD. Saccharomyces cerevisiaeE. Propionibacterium sharmaniiChoose the correct answer from the options given below: (1) A and B only (2) A and C only (3) C and D only (4) C and E only 88. Match List-I with List-II.List-I: A. Progesterone, B. Relaxin, C. Melanocyte stimulating hormone, D. CatecholaminesList-II: I. Pars intermedia, II. Ovary, III. Adrenal Medulla, IV. Corpus luteumChoose the correct answer from the options given below: (1) A-IV, B-II, C-I, D-III (2) A-IV, B-II, C-III, D-I (3) A-II, B-IV, C-I, D-III (4) A-III, B-II, C-IV, D-I 89. The blue and white selectable markers have been developed which differentiate recombinant colonies from non-recombinant colonies on the basis of their ability to produce colour in the presence of a chromogenic substrate.Given below are two statements about this method:Statement I: The blue coloured colonies have DNA insert in the plasmid and they are identified as recombinant colonies.Statement II: The colonies without blue colour have DNA insert in the plasmid and are identified as recombinant colonies.In the light of the above statements, choose the most appropriate answer from the options given below: (1) Both Statement I and Statement II are correct (2) Both Statement I and Statement II are incorrect (3) Statement I is correct but Statement II is incorrect (4) Statement I is incorrect but Statement II is correct 90. Which one of the following equations represents the Verhulst-Pearl Logistic Growth of population? (1) (2) (3) (4) Submit Quiz Quiz Results You scored 0 out of 10! Tags: 2025 NEET Biology Practice Test Facebook Twitter